欧楷|自古英雄出少年!11岁张晓博秀柳楷,筋骨尽显,瘦硬通神,佩服
了不起少年!不少网友看到他的书法作品后,都这样称赞道,是的,11岁,五年级的样子,却在书法上先人一步,写出了超越书法大家的水平,相信,好书的你看到他的书法作品后,也会被惊艳到的,没曾想,11岁的孩子竟然写出了如此传神的柳楷作品,筋骨尽显,瘦硬通神,让人佩服,更让人羡慕,这不,11岁的书法少年赵晓博秀出了自己的书法作品,惊艳了整个书坛,连一流的书法大家都赞叹不已,下面就让我们一同来欣赏一番这位书法少年的书法作品吧。

文章插图
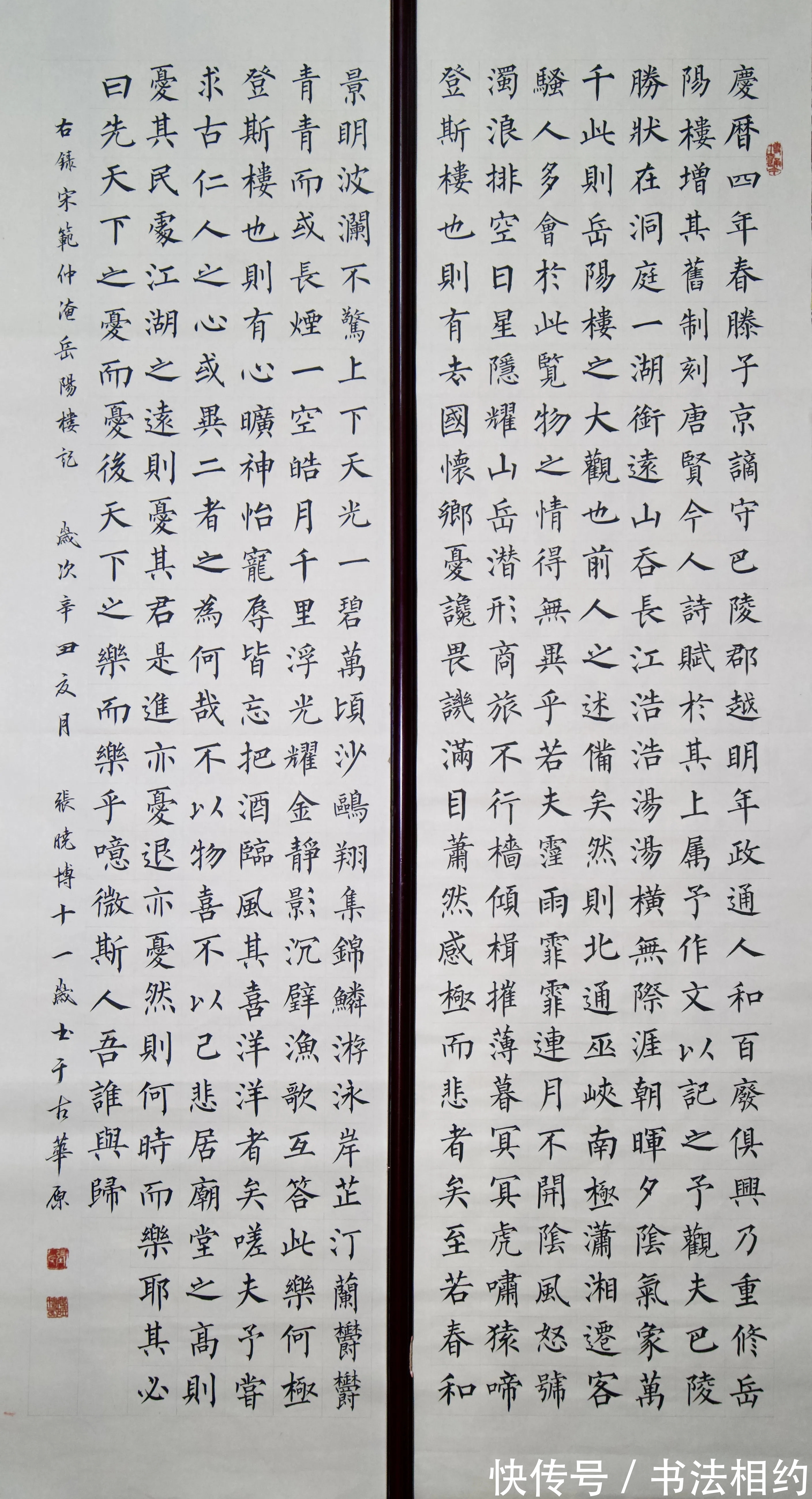
书法的精髓在于博大,而这位11岁的书法少年不但深谙其道,而且还写出了自我个性,在柳楷的基础上,有所改观,也充分融入了个人的认识和见解,尤其是表现在线条上,线条不但粗细均匀,而且力透纸背,虽然整体上比较纤细,但是力感十足,给人一种瘦硬通神的感觉,而且这种感觉非常强烈,让人一见倾心,难怪网友们对他的柳楷作品,都大加赞赏,从他的书法行为上,我们也真正看到了书法的未来,同时,也让我们真真感受到什么叫做自古英雄出少年!

文章插图
从他的柳楷作品上看,在用笔上非常讲究,而且深入古法,灵活应用,轻松驾驭,游刃有余地发挥,无论是点画的排布上,还是点画间的空间打造上,都体现出一种娴熟的技艺和技法,前后笔之间既有彼此照应,又有相互依赖,顾盼生情,首尾相接,笔意贯穿始终,而在字形上,也略有改观,不是以瘦长为基本字形,在随字而安的基础上,变得稍稍方正了许多,始终透着一股正大气象,而且还有一股庙堂之高气,这种气息也非常浓重。

文章插图
这位11岁的书法少年,不但精于柳楷,对欧楷也是深谙其道,对篆书、隶书均有涉猎,全面发展,写得有模有样,真是别样的存在,难怪有家长也说道,这是别人家的孩子,对于这位11岁书法少年的书法作品,分享你的看法和见解。

文章插图
【 欧楷|自古英雄出少年!11岁张晓博秀柳楷,筋骨尽显,瘦硬通神,佩服】

文章插图
- 马场@窦尔敦绰号钩祖,他在雅克萨之战中成了英雄,如今他的后代在这里
- 宋孝宗!被遗忘的英雄,救了国家,有家族为他守墓800多年
- 射雕英雄传#金庸小说五大兵器排行,圣火令垫底倚天屠龙未上榜,第一无人不服
- 软肋#“英雄难过美人关 ”,它的下半句说透了女人的软肋!
- 巾帼英雄#拯救中华文明!若不是1976年挖出她的墓葬,真以为她是神话人物
- 真好汉&谁是水浒传中的真英雄,毛主席对其中的两位评价极高
- 卢俊义!水浒中英雄好汉大排名,梁山只有两人上榜,呼声最高的居然无缘!
- 中国书法$为啥学“田楷”的人备受歧视?跟正统“欧楷”比起来,确实很低级
- 鸳鸯&自古嫦娥爱少年,丫鬟鸳鸯爱的那个少年是谁?贾母心知肚明
- 楷书$田楷VS欧楷,田欧终极PK,8个字足以让田英章走下神坛
